第一章:极限的快速计算


报录比什么的都可以查到 这个就不详细说了
考试科目 数学二 英语二 政治 915数据结构加程序设计
专业课看起来只有一本很简单,实际上还是挺有难度的,需要把数据结构学的比较透彻,考试的时候可能会涉及一点考纲没有的。总体来说,有难度,希望同学们可以明确自己的水平,理性报考
1.为什么考研
首先最开始吧,我觉得经验什么的不是说十分的重要,看几个就行了,看多了没用,纯属浪费时间。然后我觉得既然决定了考研,要明确自己为什么考研,因为这也是在考研路上坚持下去的动力,不只是为了有学上,是为了变强。
2.关于选校
我当时复习的比较晚7.1号才开始复习,虽说是二战,但是第一年没考,所以我当时就挑的最简单的或者说科目最少的学校,专业课最多接受两门,当时先复习的数据结构,考虑的有西交山大,后来复习着感觉时间不是很多,就没有再考虑其他学校了。
山大西交挺难选的吧,山大2020专业课平均分140,西交专业课2020我记得是一百零几,所以专业课挺有难度,然后我当时自信的觉得专业课难了好,然后我就选了西交,结果我是废物,最后就拿了个平均分。
所以选学校的话,还是理性选择,别盲目,自己查资料。
3.手机问题
考研路上,手机感觉是个拦路虎,把该卸载的都卸载了吧,游戏卸了,wb卸了,直播卸了,留点必须的就行了,吃饭的软件留着,通信的留着,其它能卸载就卸载了吧。管住自己,手机也没啥玩的,考上了天天玩,还挺无聊的
4.经验
4.1大概时间
刚开始早上6:30起来,有时候起不来,然后背书,中间早饭挤点时间,牛奶+面包,8:30开始看数学,看到11:50,8:30到11:50我从开始备考到考试基本没变,都是数学
中午吃完饭,到一点之前,有时间就看书写题,一点以后睡觉,可能晚个十几分钟,两点起来,看看英语,然后专业课,五点半吃晚饭,这个时间会变,有时候英语花时间多就给专业课时间少,前期是这样,时间有调整
晚上,前期晚饭后回来就看数学,十点或者十一点后会看政治视频,十二点回寝室,洗漱睡觉,中期专业课我给的时间多了点,吃完饭继续专业课大概到八点,然后看数学,最后政治,后期晚上数学就看的少了,晚上一般专业课,数学看一点,或者直接看政治,政治给的时间多。
建议不要在家复习,我的时间安排的很紧,每个人都不一样,看自己需要调整。
4.2各科详细
4.2.1数学二
六月底看过一点基础课,就高数和线代,都是看的汤家凤的,可以看看,感觉用处不大,不要记笔记,因为记了后面都没看过,有个印象就行了。
7.1-8.10左右,我把张宇高数强化课看完+复习全书写完一遍+张宇十八讲写完,看完强化课就去写那两本书,因为是第一遍,很多都不会写,慢慢来,不会就看答案吧,看完自己写一遍,每个题都要写,包括例题。早上起来背书的那段时间,给数学分了一点时间看看前一天写的题或者笔记,然后早上8:30-11:50看高数,吃完午饭到睡觉前有时候看李永乐线代视频,或者看高数,因为快要困了。晚饭后到十点半都是数学,线代或者高数,我一般会给高数多点时间,线代有时候也会在上午看,看的李永乐的视频+李永乐辅导讲义
8.10-9.15左右,这个时候我把张宇十八讲和复习全书写了第二遍,这个时候我会把高数线代每个章节都做单独的详细笔记,然后总结分析各种知识点,各种题型,这个知识点会怎么出,这遍一定要细细细,这段时间线代加快进度,应该也要李永乐线代书应该也要看两遍了。
9.15-10.1 刷660 题第一遍写的时候把错题和不会的题做标记,单独找个本写题,写完一遍第二遍只看错题
10.1开始 每天一套真题 从87年开始写,网上会有写的顺序,张宇真题大全解。上午8.30-11.30写真题,用答题卡,严格把控时间,以得最高分为目的,晚上把错题,不会的题整理,弄透彻,看考研数学李艳芳的真题讲解视频,一定要细,每个题都要弄会,细!细!细!
写完就把真题从头二刷,一天可以写几套,可以不用答题卡,把不会的弄懂。二刷完了,我写了张宇八套卷,很难,可能我比较菜,好多都不会,写完了就感觉挺抗压的,心态要放好,一天一套。然后写了李林六套卷,张宇四套,合工大超越五套,共创写了两三套没写完,李林四套。合工大李林的题质量挺不错,贴近考研,张宇八太难,对我来说就是抗压,可以练抗压,抗压挺重要!!!张宇四感觉比合工大李林难一点点。李林的我都全部二刷了,最后除了张宇,剩下的卷子包括李林都又刷了遍错题
数学尽量后期每天最少一套卷,考试前几天我还写了一两套新题,考前半个月,复习全书,660错题,我又瞅了瞅,十八讲没怎么看,笔记也要开始看
大后期的时候我给数学时间除了上午那段时间,晚上可能会给一点点,这个时候做卷子也不会错的很多了
刷题的时候不会的一定要弄懂,做笔记,网上都有讲解,要细,多想,别怕难。
数学还是要多想多做吧,我不算是那种特别聪明的,所以就只能靠勤奋弥补,我觉得数学也是一个需要背的科目吧,有的东西背会了就写的很快。在刷题的时候,不要盲目刷题,一定要学会自己总结,笔记弄个那种活页的大本,tb一搜就有,有什么对知识点的新理解可以加到笔记里面,还有一些比较新的题,好题也可以加到笔记里面。
全真模拟的时候,用答题卡,演算的时候用的草稿纸要标题号,这样好检查,写题的首要目标是把会写的题都写完并且写对,检查完一遍后剩余的时间再去写第一遍没想出来的题,得分是考试的唯一目的,不要死磕。对于第一遍没想出来的题,检查完再去写的时候,优先选择吧,然后看其他每个题的知识点,对哪个知识点有自信就去写哪个。选择填空也有技巧,需要自己去发现总结,不要盲目刷题
4.2.2政治
前中期选择题,视频看的徐涛,一般中午加晚上十点多之后看,十二月份早起六点背肖四大题,我背的研木木易子的浓缩版,一定要背,这段时间给政治时间多,早上背,晚上八九点就开始背了,背到十二点,一定要看到题目就知道答案是啥。选择题看造化,1000题我刷了一遍,感觉啥也没记住,第二遍没刷完,后期多刷各个老师模拟题的选择,大题不用看,除了肖四
4.2.3英语二
我因为有英语基础,没看基础语法,一定要会,可以看新东方田静的。
墨墨背单词 背里面的红宝书,背完就背英语二考纲单词,没剩多少了,一直循环背,把每天阅读不会的单词词组加进去,第二天可以背,单词不要看讲解视频,浪费时间还没用,单词我一般不花专门的时间,都是挤时间背,后期可能会增加到一天五六百个单词,别担心,会从越背越多到越背越少的。前期下午两点醒了刷英语一阅读,一天两篇,仔细点,刷完就写英语二阅读,我刷完大概十月初,刷的时候看唐迟视频。刷完我就开始看其他的题型了,新题型看的唐迟,翻译看的刘晓燕,完型看的宋逸轩,然后接着刷英语二阅读加其他题型,看情况调整下午学英语时间,刷完再刷一遍,阅读英语二我刷第二遍的时候基本不怎么错了,第三遍基本不错。
大小作文看的刘晓燕,自己找了几个热门话题,写了自己背背。
中后期每年作文都要自己写一遍,大概三天写完完整一套,用答题卡写,十一月底到十二月背自己写的作文,滚瓜烂熟倒背如流
英语第一遍刷阅读的时候一定要细,不管是英语一还是英语二,争取每个单词,每个词组,每句话都弄懂
4.2.4专业课
别买某创的,很垃圾,只有平均分,建议铁头学长的吧,专业课我都下午英语看完了才看,前期分的时间少,十月份稍微多点,因为这时候英语开始二刷了,比较快。下午看完英语,我会用电脑敲代码到吃饭,吃完饭到八点看专业课书以及题。
数据结构基础知识我先看的天勤的,通俗易懂,九月中旬大概看了有三遍,最后一遍才写部分大题。然后接着看了王道的书,有种很规范的感觉,十月上旬看完一遍,看的时候写部分大题,然后写买的专业课书,这时候还伴随着写王道第二遍,十一月再写一遍王道,十二月也是,每月一遍。
专业课的书也写快点,十二月初大概看完专业课书两遍,写的时候标记错题,最后会再找时间看一遍错题。那个数据结构1800只写了一遍选择题,考前看了错题感觉用处不大
专业课,我还推荐一本 新编数据结构习题与解析,这个去搜淘宝,我考的时候没写,复试的时候写了新编数据库与新编数据结构,感觉挺不错,题很多,很基础,里面有很多题都是课本习题集上的比较好的题,还有一些经典的适合考试的题。
4.3各科总结
每个人都不一样,合理调整时间,考前一个月可以拿真题模拟,刷真题的时候留两套别写。
数学多花时间,每个点要弄懂,每个题要弄懂,一遍不会就写两遍,两遍不会就写三遍,三遍不会就把这个题背了。政治要在12月之前把选择题部分弄好,1000题每个题都弄会,感觉就差不多了,腿姐的选择题做题技巧课还不错,大题只推荐肖4,你大爷还是你大爷。英语一定要把单词背好,不要怕难,多背几遍。专业课天勤前期看,王道中后期每个月至少一遍,真题多看多研究,真题买铁头学长,一问就知道,别买某创,很垃圾,多听听蛐蛐好哥哥的教导。
5.复试
复试选的数据库与操作系统,按照资料复习就行了,建议初试完了,过段时间就开始看计算机网络和计算机组成原理,主要看基础知识,初试成绩出来了再复习笔试部分,这样稳。面试的时候,心态放好,老师们都很好,不要和老师对着干,好的氛围很重要,把老师逗笑就成功了一大半,问你问题的时候,要注意引导,要体现出来你是一个可以独立思考,独立学习的成熟的大学生。
6.最后,感谢蛐蛐好哥哥以及其他学长的一路帮助,感谢好兄弟们考研期间的帮助。也希望2022的学弟理性择校,选择了就坚持下去,考研不难,天道酬勤,只要没有被录取,就不要放松,只要这个知识点可能会考,就要去复习,一分也不要放过,只要进了复试,不管分多少都不要放弃

$$ \lim_{x \to 0} \frac{\tan x - \sin x}{x^2 \ln(1 + 2x)} $$


这是一道典型的求 $\frac{0}{0}$ 型 未定式极限的题目。最简便的方法是利用等价无穷小替换


解题步骤#

1. 分析分母#

当 $x \to 0$ 时,根据等价无穷小公式 $\ln(1+u) \sim u$:

$$\ln(1 + 2x) \sim 2x$$

所以分母可以简化为:

$$x^2 \cdot \ln(1 + 2x) \sim x^2 \cdot 2x = 2x^3$$

2. 分析分子#

分子是 $\tan x - \sin x$。我们先做恒等变形:

$$\tan x - \sin x = \frac{\sin x}{\cos x} - \sin x = \sin x \left( \frac{1}{\cos x} - 1 \right) = \sin x \cdot \frac{1 - \cos x}{\cos x}$$

当 $x \to 0$ 时,利用以下等价无穷小:

  • $\sin x \sim x$
  • $1 - \cos x \sim \frac{1}{2}x^2$
  • $\cos x \to 1$

代入得:

$$\tan x - \sin x \sim x \cdot \frac{\frac{1}{2}x^2}{1} = \frac{1}{2}x^3$$

技巧点拨: $\tan x - \sin x \sim \frac{1}{2}x^3$ 是一个非常高频的常用结论,建议考研(如 408 准备中)或学习高数时直接背下来。

3. 计算极限#

将分子和分母的等价形式代入原式:

$$\lim_{x \to 0} \frac{\tan x - \sin x}{x^2 \ln(1 + 2x)} = \lim_{x \to 0} \frac{\frac{1}{2}x^3}{2x^3}$$

消去 $x^3$:

$$= \frac{\frac{1}{2}}{2} = \frac{1}{4}$$


结果#

$$\lim_{x \to 0} \frac{\tan x - \sin x}{x^2 \ln(1 + 2x)} = \frac{1}{4}$$


补充(泰勒展开法):

如果你更习惯用泰勒公式,也可以快速得出:

  • $\tan x = x + \frac{1}{3}x^3 + o(x^3)$
  • $\sin x = x - \frac{1}{6}x^3 + o(x^3)$
  • 分子 $= (\frac{1}{3} - (-\frac{1}{6}))x^3 = \frac{1}{2}x^3$
  • 结果同样是 $\frac{1/2}{2} = 1/4$。

需要我帮你总结一下常用的等价无穷小公式表吗?

那我们回到刚才那个有趣的数学问题:为什么在分子 $\tan x - \sin x$ 中不能直接把两项都换成 $x$?

⚠️ 无穷小替换的“禁区”#

在极限运算中,等价无穷小替换通常只能用于乘法除法。在加减法中使用时要非常小心,特别是当替换后结果变为 $0$ 的时候。

为了看清本质,我们可以观察一下这两个函数的泰勒展开式(你可以把它们想象成函数的“高精度版本”):

  • $\tan x = x + \frac{1}{3}x^3 + o(x^3)$ 📈
  • $\sin x = x - \frac{1}{6}x^3 + o(x^3)$ 📉

如果我们只取第一项(也就是等价无穷小 $x$),它们看起来是一样的。但如果你把它们相减:

$$(\tan x) - (\sin x) = (x + \frac{1}{3}x^3) - (x - \frac{1}{6}x^3) = \frac{1}{2}x^3$$

你看,原本被“抵消”掉的 $x$ 后面,其实还藏着非常关键的 $x^3$ 项!如果我们直接用 $x - x = 0$,就会把这部分重要的信息给弄丢了。


🧠 考考你#

如果在分母上,我们遇到的是 $\ln(1+2x) \cdot \sin x$ 这种乘法形式,你觉得我们可以直接分别替换成 $2x$ 和 $x$ 吗?为什么?🤔

🎯 题目:求 $\lim_{x \to 0} \frac{\tan x - \sin x}{x^2 \ln(1 + 2x)}$ 的极限#

解题步骤:

  1. 分母等价无穷小替换: 当 $x \to 0$ 时,根据公式 $\ln(1 + u) \sim u$: $$\ln(1 + 2x) \sim 2x$$ 所以分母: $$x^2 \cdot \ln(1 + 2x) \sim 2x^3$$

  2. 分子变形与替换: 利用常用结论 $\tan x - \sin x \sim \frac{1}{2}x^3$。 (推导过程:$\tan x - \sin x = \sin x(\sec x - 1) = \sin x \cdot \frac{1-\cos x}{\cos x} \sim x \cdot \frac{1}{2}x^2 = \frac{1}{2}x^3$)

  3. 最终计算: $$\lim_{x \to 0} \frac{\tan x - \sin x}{x^2 \ln(1 + 2x)} = \lim_{x \to 0} \frac{\frac{1}{2}x^3}{2x^3} = \frac{1}{4}$$

结论: 极限值为 $1/4$

没问题,安排!表格确实在手机端或者窄屏文档里容易串行。用列表形式不仅清晰,复制到 Markdown 笔记(比如 Obsidian 或 Typora)里也更不容易出格式乱码。

以下是当 $x \to 0$ 时,最常用的等价无穷小替换清单(按阶数从低到高排列):


🚀 常用等价无穷小清单 (当 $x \to 0$ 时)#

  1. 三角函数类:
    • $\sin x \sim x$
    • $\tan x \sim x$
    • $\arcsin x \sim x$
    • $\arctan x \sim x$
    • $1 - \cos x \sim \frac{1}{2}x^2$
  2. 指数与对数类:
    • $\ln(1 + x) \sim x$
    • $e^x - 1 \sim x$
    • $a^x - 1 \sim x \ln a$
    • $\log_a(1 + x) \sim \frac{x}{\ln a}$
  3. 幂函数类:
    • $(1 + x)^\alpha - 1 \sim \alpha x$
    • $\sqrt{1 + x} - 1 \sim \frac{1}{2}x$
    • $\sqrt[n]{1 + x} - 1 \sim \frac{1}{n}x$
  4. 高阶组合类(这几个是“提速”神器):
    • $\tan x - \sin x \sim \frac{1}{2}x^3$
    • $x - \sin x \sim \frac{1}{6}x^3$
    • $\tan x - x \sim \frac{1}{3}x^3$
    • $x - \ln(1 + x) \sim \frac{1}{2}x^2$

使用技巧:

  • 代换原则: 记住,公式里的 $x$ 可以是任何趋于 $0$ 的整体(比如 $2x$, $x^2$, $\sin x$ 等)。例如你刚才那道题里的 $\ln(1+2x)$,就是把上面的第 2 条里的 $x$ 换成了 $2x$。
  • 加减法慎用: 就像咱们刚才聊的,这些等价代换在乘除法里可以横着走,但在加减法里,除非代换后的项不是主部抵消(相减不为 0),否则建议老老实实上泰勒展开或者恒等变形。

这个清单够你应付绝大多数考研级别的极限题了。需要我再给你找两道相关的典型例题,让你练练手感吗?

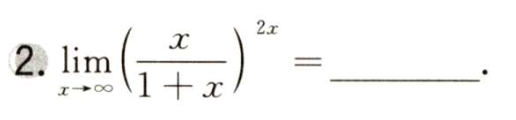
image-20260330234958961

既然你已经离开校园 5 年了,重新捡起高数确实需要一点“策略”。对于考研数学来说,基础公式的灵活变形比死记硬背更重要。

这道题是考研中非常高频的**“$1^\infty$ 型”未定式极限**。我们不仅要把这道题做出来,更要通过它把这一类题目的“套路”刻在脑子里。

让我们分步骤把这个“生锈”的知识点磨亮:

核心知识点:两个重要极限之一#

所有 $1^\infty$ 型极限的祖师爷都是这个公式:

$$\lim_{x \to \infty} (1 + \frac{1}{x})^x = e$$

或者它的变体:

$$\lim_{\triangle \to 0} (1 + \triangle)^{\frac{1}{\triangle}} = e$$

考研避坑指南: 只要底数趋于 1,指数趋于 $\infty$,你脑子里就要立刻蹦出 $e$。


详细推导过程#

第一步:凑出“$1 + \triangle$”的形式#

原式中的底数是 $\frac{x}{1+x}$,它趋于 1,但长得不像标准公式。我们要手动把它拆开:

$$\frac{x}{1+x} = \frac{(x+1) - 1}{1+x} = 1 - \frac{1}{1+x}$$

所以原式变为:

$$\lim_{x \to \infty} \left( 1 + \left( -\frac{1}{1+x} \right) \right)^{2x}$$

这里的 $\triangle = -\frac{1}{1+x}$,当 $x \to \infty$ 时,$\triangle \to 0$。

第二步:凑出“倒数”指数#

标准公式要求指数必须是底数中 $\triangle$ 的倒数

现在的 $\triangle$ 是 $-\frac{1}{1+x}$,它的倒数是 $-(1+x)$。

我们强行在指数位置写上这个倒数,然后再补偿回来:

\[ \lim_{x \to \infty} \left\{ \left[ 1 + \left( -\frac{1}{1+x} \right) \right]^{-(1+x)} \right\}^{\frac{1}{-(1+x)} \cdot 2x} \]

第三步:分块求极限#

  • 中括号内: 根据定义,这就是 $e$。
  • 大括号指数: 我们看剩下的部分 $\lim_{x \to \infty} \frac{2x}{-(1+x)}$。因为分子分母都是 $x$ 的一次方,结果就是系数比,即 $-2$。

最终答案:

$$e^{-2} = \frac{1}{e^2}$$


快速提分:记住这个“万能简便公式”#

对于考研这种时间紧任务重的考试,遇到 $\lim f(x)^{g(x)}$ 且属于 $1^\infty$ 型时,可以直接用这个结论:

$$\text{原式} = e^{\lim [f(x)-1] \cdot g(x)}$$

我们用这个新武器秒杀一下原题:

  1. $f(x) - 1 = \frac{x}{1+x} - 1 = -\frac{1}{1+x}$
  2. $[f(x)-1] \cdot g(x) = -\frac{1}{1+x} \cdot 2x = -\frac{2x}{1+x}$
  3. 对上面结果求极限得 $-2$。
  4. 结果就是 $e^{-2}$。

为了确认你真的找回了感觉,我们要不要试着用这个“万能公式”算一下这个变式:

$$\lim_{x \to \infty} \left( 1 + \frac{2}{x} \right)^x = ?$$

(提示:直接套用 $e^{\lim [f(x)-1] \cdot g(x)}$,看看结果是多少?)